Skip to content Skip to sidebar Skip to footer

Mastering Calculus: Unleashing the Power of Derivative Using Limit Definition

Mastering Calculus: Unleashing the Power of Derivative Using Limit Definition

Calculus is one of the most challenging subjects students encounter in their academic career. However, when mastered, it can unleash a whole new world of mathematical proficiency. One of the most fundamental aspects of calculus is the derivative, which is used to find rates of change and slopes of curves. What most students struggle with is understanding the limit definition of derivatives. Fear not! With the right approach, anyone can unlock the power of derivatives and tackle even the most complex calculus problems.

Don't let the complexity of calculus intimidate you. Understanding the limit definition of derivatives is crucial to mastering this subject. With the proper guidance and practice, anyone can excel in calculus, regardless of their initial aptitude for the subject. By unleashing the power of derivatives using limit definition, you will be able to solve problems and perform calculations that would have once seemed impossible.

Whether you are just beginning your calculus journey or need to brush up on your skills, this article on mastering calculus through the limit definition of derivatives is sure to be a valuable resource. With step-by-step explanations and helpful tips, you will gain the knowledge and confidence needed to succeed. So, what are you waiting for? Dive into the world of calculus and unleash the power of derivatives today.

Derivative Using Limit Definition
"Derivative Using Limit Definition" ~ bbaz

The Importance of Learning Calculus

Calculus is a fundamental branch of mathematics that deals with the study of change, and it has many real-life applications. It is a powerful tool for solving complex problems in fields such as physics, engineering, economics, and computer science. For example, calculus is used to optimize systems, predict changes in population growth, and calculate rates of change. Therefore, mastering calculus is essential for anyone pursuing a career in these fields.

What is the Derivative?

The derivative is a measure of how a function changes as its input changes. It is a fundamental concept in calculus, and it is used extensively in many areas of mathematics and science. The derivative of a function is defined as the slope of the tangent line to the curve at a particular point. The slope of the tangent line represents the rate of change of the function at that point.

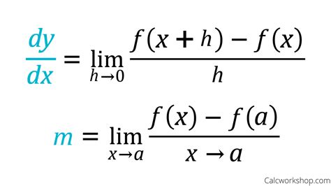
The Limit Definition of the Derivative

The limit definition of the derivative is one of the most important concepts in calculus. It is used to derive the formula for the derivative of a function using the limit of a difference quotient. This formula allows us to find the slope of the tangent line to the curve at any point on the function. By using this formula, we can calculate the derivative of any function, no matter how complex it may be.

Comparing Limit Definition to Other Methods

There are several methods for finding the derivative of a function, including the power rule, product rule, quotient rule, and chain rule. While these methods are often easier to use than the limit definition, they have limitations. For example, they may only apply to certain types of functions or may require special conditions to be met. In contrast, the limit definition can be used for any function, regardless of its complexity or form.

Method Advantages Disadvantages
Power Rule Easy to Use Only applies to power functions
Product Rule Allows for finding the derivative of products Can be difficult to remember and apply
Quotient Rule Allows for finding the derivative of quotients Can be difficult to remember and apply
Chain Rule Allows for finding the derivative of composite functions Can be difficult to apply for certain types of functions
Limit Definition Can be used for any function Can be time-consuming to use

Why Mastering the Limit Definition is Important

While other methods may be easier to use, mastering the limit definition is essential for a deep understanding of calculus. It provides a solid foundation for understanding the concepts of limits, continuity, and differentiability. It also allows us to derive other important formulas in calculus, such as the second derivative and the Mean Value Theorem. By mastering the limit definition, we can gain a deeper understanding of calculus and apply it more effectively to solve complex problems.

Challenges in Mastering Calculus

Calculus is often regarded as one of the most challenging subjects in mathematics. Many students struggle with the abstract concepts and complex calculations involved. Some common challenges include understanding the definitions of limits and derivatives, remembering the formulas, and applying them correctly. However, with practice and perseverance, these challenges can be overcome.

Tips for Mastering Calculus

Here are some tips for mastering calculus:

1. Build a Strong Foundation in Algebra

Algebra is the foundation of calculus, so make sure you have a strong understanding of equations, functions, and graphing.

2. Practice, Practice, Practice

Calculus requires lots of practice to master. Do as many problems as you can, and seek help from your professor or tutor if you get stuck.

3. Use Online Resources

There are many online resources available for learning calculus, such as Khan Academy, MIT OpenCourseWare, and Coursera. Take advantage of these resources to deepen your understanding of the subject.

4. Work with a Study Group

Working with a study group can help you learn from others and gain new perspectives on the material.

In Conclusion

The limit definition of the derivative is a powerful tool for solving complex problems in fields such as physics, engineering, economics, and computer science. While other methods may be easier to use, mastering the limit definition is essential for a deep understanding of calculus. By following these tips and persevering through the challenges, anyone can master calculus and unleash the power of the derivative.

Thank you for taking the time to read about the power of derivatives and how you can master calculus using limit definition. Calculus can be a challenging subject for many, but understanding derivatives is essential for unlocking the full potential of this mathematical field.

By using limit definition to understand derivatives, you are essentially able to take a closer look at the rate of change of a function. This is important in many areas of mathematics, physics, and engineering, and can help you solve complex problems with ease.

So if you want to unleash your full potential in calculus, take the time to master derivatives using limit definition. Whether you are a student looking to excel in your coursework or a professional seeking to use calculus in your field, having a strong grasp of derivatives will give you the skills and confidence you need to succeed.

Mastering Calculus: Unleashing the Power of Derivative Using Limit Definition is an advanced calculus course that teaches students how to use limit definitions to solve complex derivative problems. Here are some commonly asked questions about this course:

  • What topics are covered in Mastering Calculus: Unleashing the Power of Derivative Using Limit Definition?

    This course covers a wide range of topics related to derivatives and limit definitions, including continuity, limits, derivatives of polynomial functions, exponential functions, logarithmic functions, trigonometric functions, and more.

  • Is this course suitable for beginners?

    No, this course is designed for advanced calculus students who have already completed introductory calculus courses and have a strong understanding of calculus concepts.

  • What are some benefits of taking this course?

    1. Students will gain a deeper understanding of calculus concepts and how they are applied in real-world situations.
    2. Students will learn how to solve complex derivative problems using limit definitions, which can be applied to a wide range of fields, including engineering, physics, and economics.
    3. Students will also develop critical thinking skills and problem-solving abilities that are highly valued by employers.
  • What kind of assignments and assessments can I expect in this course?

    Assignments may include problem sets, quizzes, and exams that test your understanding of calculus concepts and your ability to solve derivative problems using limit definitions.

  • What resources are available to help me succeed in this course?

    The course may offer various resources, such as practice problems, video lectures, and discussion forums where you can ask questions and collaborate with other students.

Post a Comment for "Mastering Calculus: Unleashing the Power of Derivative Using Limit Definition"